Wyższa Szkoła Oficerska Wojsk Lądowych imienia generała Tadeusza Kościuszki

5/5 - (2 votes)

1. Warunkiem koniecznym zdania egzaminu dyplomowego jest uzyskanie ocen pozytywnych za autoreferat oraz za co najmniej dwie odpowiedzi na wylosowane pytania z zakresu programu studiów. Oceny te są wystawiane w skali sześciostopniowej (2,0; 3,0; 3,5; 4,0; 4,5; 5,0).

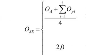
2. Obliczenie oceny końcowej z egzaminu dyplomowego dokonuje się na podstawie następującego wzoru:

w przypadku co najmniej dwóch ocen pozytywnych z odpowiedzi na wylosowane pytania z zakresu programu studiów
w przypadku niespełnienia warunku koniecznego (patrz pkt 14)
gdzie:
OSE – ocena średnia z egzaminu dyplomowego (zaokrąglona do dwóch miejsc po przecinku);
OA – ocena za autoreferat;
Opi — ocena za odpowiedź na i-te pytanie z zakresu programu studiów.

3.Ocenę z egzaminu dyplomowego ustala się na podstawie oceny średniej z egzaminu dyplomowego w następujący sposób:

4,75 ÷5,00-ocena bardzo dobry (5,0)
4,26 ÷4,74-ocena dobry plus (4,5)
3,75 ÷4,25-ocena dobry (4,0)
3,26 ÷3,74-ocena dostateczny plus (3,5)
2,75 ÷3,25-ocena dostateczny (3,0)
do 2,74-ocena niedostateczny (2,0)

4. W przypadku uzyskania oceny niedostatecznej z egzaminu dyplomowego lub nieprzystąpienia do egzaminu dyplomowego w ustalonym terminie z przyczyn losowych, dziekan, na pisemny wniosek studenta, wyznacza dodatkowy (poprawkowy) termin egzaminu dyplomowego. Dodatkowy (poprawkowy) termin egzaminu powinien być wyznaczony przed upływem sześciu miesięcy od pierwszego terminu. Jeżeli dodatkowy (poprawkowy) termin egzaminu został wyznaczony w okresie następnego semestru (roku akademickiego), student zostaje przeniesiony do grupy studentów niższego rocznika.

5. Student, który nie zdał lub nie przystąpił do egzaminu dyplomowego w drugim terminie, zostaje skreślony z listy studentów. W wyjątkowych, losowych przypadkach, na pisemny wniosek studenta, dziekan może zmienić termin dodatkowego (poprawkowego) egzaminu dyplomowego.

6. Pozostałe zagadnienia, nieujęte w niniejszym dokumencie, związane z egzaminem dyplomowym rozstrzyga Regulamin Studiów obowiązujący w Wyższej Szkole Oficerskiej Wojsk Lądowych imienia generała Tadeusza Kościuszki.

Szczególnym sposobem weryfikacji efektów kształcenia procesu dyplomowania w obszarze umiejętności i kompetencji społecznych jest portfolio (teczka osiągnięć studenta), zawierające zgromadzony podczas studiów dorobek studenta, potwierdzający osiągnięte efekty kształcenia, np.: artykuły, certyfikaty, dyplomy ukończenia kursów, szkoleń itp. Mogą to być także materiały metodologiczne z zakresu badań, jakie student zrealizował w trakcie opracowywania pracy dyplomowej, np. wyniki badań, sposoby gromadzenia materiałów badawczych itp. świadczące o umiejętnościach i kompetencjach społecznych studenta.

Powyższe materiały student powinien przedstawić w sposób syntetyczny w teczce papierowej, na której – na jej okładce przedniej – powinna być zamieszczona następująca informacja (poniższy przykład):

(PRZYKŁAD)
JOANNA KOWALSKA-ZIEMKIEWICZ
imię i nazwisko studenta
Bezpieczeństwo narodowe, III rok, studia stacjonarne 1134
kierunek studiów, poziom i forma kształcenia numer albumu studenta
edycja: 2013-2017
rok akademicki: 2015/2016
termin egzaminu dyplomowego: 08.07.2016 r.
PORTFOLIO
(teczka osiągnięć studenta)
Wyższa Szkoła Oficerska Wojsk Lądowych imienia generała Tadeusza Kościuszki
Wrocław, 08.07.2016 r.

Jeśli potrzebujesz wskazówek jak pisać swoją pracę dyplomową to polecamy poradnik pisania prac - dowiesz się tam wszystkiego.

Dodaj komentarz